Obliczanie gwintów i połączeń gwintowych

Zniszczenie połączenia gwintowego może nastąpić pod wpływem nadmiernego obciążenia i wywołanego nim naprężenia lub wadliwego wykonania gwintu. Rdzeń śruby jest narażony na rozciąganie i skręcanie a sam gwint może zostać ścięty na skutek zbyt dużych nacisków na powierzchniach bocznych.

Wymienione wyżej przyczyny zniszczenia połączeń gwintowych - rozerwanie rdzenia śruby i naciski na powierzchniach gwintu - stanowią podstawowy warunek odpowiedniego doboru gwintu.

Nieprawidłowe wykonanie gwintu w postaci: dużej chropowatości gwintu, nierównoległości powierzchni oporowych nakrętki i łba śruby mogą spowodować zgięcie śruby.

Nieprawidłowa konserwacja i eksploatacja może skutkować zatarciem gwintu lub też powstaniem korozji, co może doprowadzić do jego zniszczenia  zwłaszcza przy demontażu połączenia.

Wytrzymałość śrub

Obliczanie wytrzymałości śrub polega na wyznaczeniu średnicy rdzenia śruby z warunków wytrzymałościowych a następnie dobraniu odpowiednich wymiarów gwintu o średnicy rdzenia większej od wynikającej z obliczeń.

Połączenie obciążone tylko siłą rozciągającą.

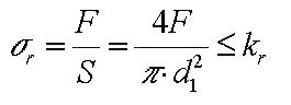
Średnicę rdzenia śruby wyznacza się z warunku wytrzymałościowego na rozciąganie.

 

Po przekształceniu przyjmuje on postać

d1 - średnica rdzenia śruby

F - siła osiowa obciążająca śrubę

S - pole powierzchni rdzenia śruby

kr - naprężenie dopuszczalne przy rozciąganiu

σr - naprężenie rozciągające

Przykład:

Program do obliczania średnicy śruby.

Dobór gwintu metrycznego zgodny z PN-83/M-02013

Wytrzymałość gwintu

Naciski na powierzchniach roboczych gwintu śruby i nakrętki są rozłożone nierównomiernie.  Powodem tego jest odkształcenie sprężyste gwintu (rys a) oraz różna sztywność śruby i nakrętki (rys b, c). Największe naciski występują na pierwszym zwoju roboczym.

 

Rozkład nacisków na powierzchni gwintu.

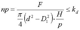
Przy obliczaniu wytrzymałości gwintu przyjmuje się dla uproszczenia obliczeń, że wszystkie zwoje są jednakowo obciążone. Najbardziej niebezpieczne dla gwintu są naciski. Pod ich wpływem następuje ścieranie się przesuwających się powierzchni  zarówno w połączeniach spoczynkowych jak i ruchowych.

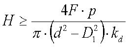
W związku z tym przy obliczaniu gwintu stosuje się niewielkie wartości nacisków dopuszczalnych kd=0,2kc.

kd - naprężenie dopuszczalne

kc - naprężenie dopuszczalne przy ściskaniu

 

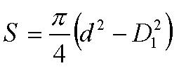
Można przyjąć, że powierzchnia pracująca jednego zwoju gwintu wynosi:

Wzór na naciski powierzchniowe przyjmuje postać:

Po przekształceniu, czynna wysokość nakrętki wynosi:

p - skok gwintu

S - powierzchnia pracująca jednego zwoju gwintu

D1 - średnica otworu nakrętki

H - czynna wysokość nakrętki

H/p - liczba czynnych zwojów gwintu

np - naciski powierzchniowe

 

Obliczenie gwintu z warunku na naciski jest równoważne ustaleniu czynnej wysokości nakrętki. W łącznikach znormalizowanych przyjęto wysokość nakrętek zwykłych H ≈ 0,8d. Przy tej wysokości nakrętki, gwint nakrętki przeniesie większe obciążenia niż rdzeń śruby, dlatego w połączeniach spoczynkowych nie oblicza się wysokości nakrętek.

Dla uzyskania odpowiedniej sztywności układu śruba - nakrętka zachowuje się odpowiednią długość skręcenia, która wynosi od 1,2 do 2 d (d - średnica śruby).